Free Access

Fig.xds 3

image

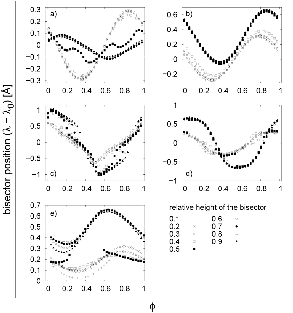
Theoretical bisector variations. Panel a: disc with a spot and orbital binary motion, panel b: disc with an oscillating spot and orbital binary motion, panel c: disc with a spiral arm, no binary motion is included, panel d: disc with a spiral arm and orbital binary motion, panel e: disc with an oscillating spiral arm. The phase ϕ denotes the angle between observer-star-spot/arm.

Current usage metrics show cumulative count of Article Views (full-text article views including HTML views, PDF and ePub downloads, according to the available data) and Abstracts Views on Vision4Press platform.

Data correspond to usage on the plateform after 2015. The current usage metrics is available 48-96 hours after online publication and is updated daily on week days.

Initial download of the metrics may take a while.