Free Access

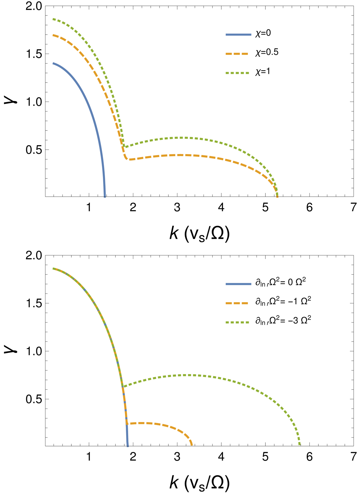
Fig. 1.

image

MJ growth rate (in Ω units) from Eq. (25) as a function of k(νs/Ω) for different values of the wave vector angle fixing ∂ln rΩ2 = − 2.5Ω2 (upper panel), and for different values of the differential rotation fixing χ = 1 (lower panel), as indicated in the plot. Integration parameters are: νA/νs = 0.3 and 4πGρ0 = 3.5Ω2. For χ = 0, the curve reduces to the one associated to the standard Jeans instability, while for χ ≠ 0, a second peak arises. This effect is increased by differential rotation. The critical wavelength is discontinuous for χ = 0 and χ ≠ 0 (where it remains constant changing the value of χ).

Current usage metrics show cumulative count of Article Views (full-text article views including HTML views, PDF and ePub downloads, according to the available data) and Abstracts Views on Vision4Press platform.

Data correspond to usage on the plateform after 2015. The current usage metrics is available 48-96 hours after online publication and is updated daily on week days.

Initial download of the metrics may take a while.