Free Access

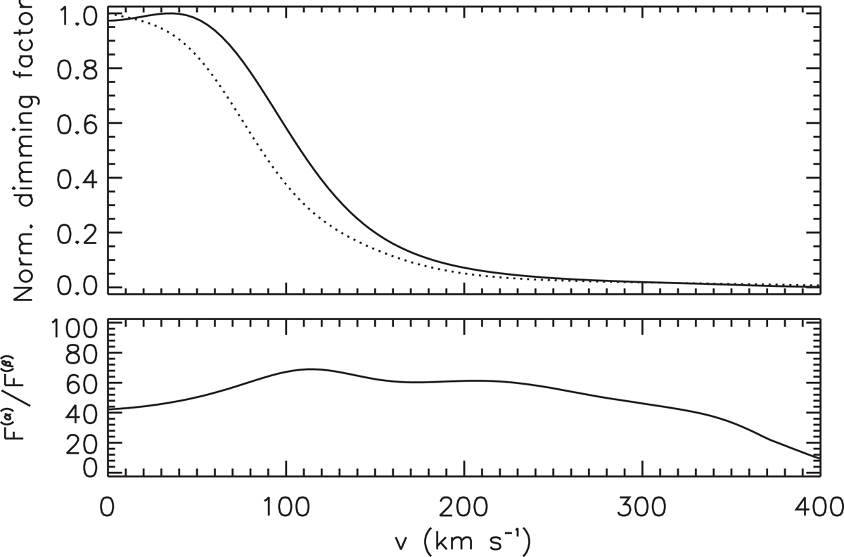
Fig. 4.

image

Normalized Doppler-dimming factor of the hydrogen Lyα (top panel, solid line) and Lyβ (dotted line) lines, calculated for the representative temperature of 105 K, and ratio of two factors (bottom panel), as functions of the plasma outflow velocity.

Current usage metrics show cumulative count of Article Views (full-text article views including HTML views, PDF and ePub downloads, according to the available data) and Abstracts Views on Vision4Press platform.

Data correspond to usage on the plateform after 2015. The current usage metrics is available 48-96 hours after online publication and is updated daily on week days.

Initial download of the metrics may take a while.