Free Access

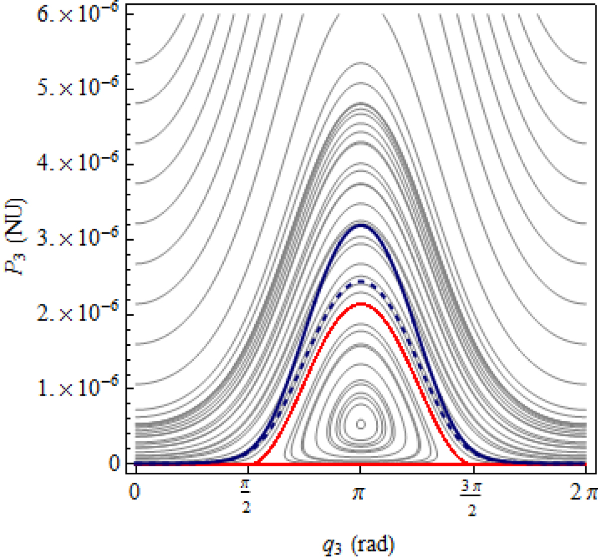
Fig. 10.

image

Phase plane for the normal form Hamiltonian obtained by restricting Eq. (22) to first-order terms in the eccentricity and retaining the full secular effect of Jupiter’s J2 harmonic in Eq. (24) (along with Eq. (21), of course). The full blue curve is obtained by integrating Hamilton’s equations with Eq. (30) as initial conditions, except for q3 = 0 and P3 as in Eq. (31). These are used also for the dashed blue curve, where Eq. (25) and the second-order terms of Eq. (22) are also taken into account.

Current usage metrics show cumulative count of Article Views (full-text article views including HTML views, PDF and ePub downloads, according to the available data) and Abstracts Views on Vision4Press platform.

Data correspond to usage on the plateform after 2015. The current usage metrics is available 48-96 hours after online publication and is updated daily on week days.

Initial download of the metrics may take a while.