Free Access

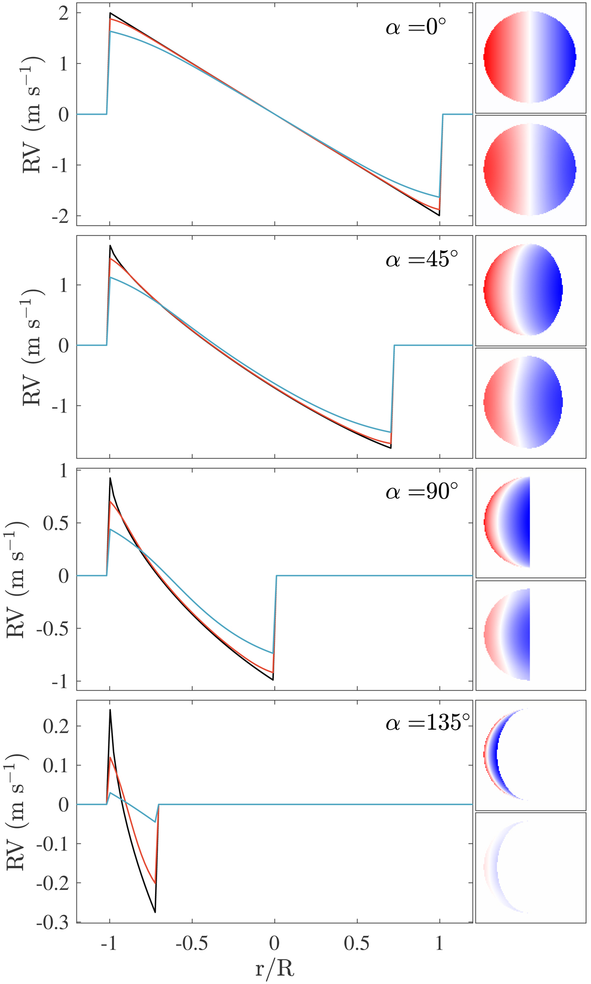
Fig. 11.

image

Radial velocities of a Lambert sphere of 15 arcsec of diameter, with a retrograde rotation of 1 m s−1 seen with an atmospheric seeing of 0, 1, and 3 arcsec respectively (black, red, blue curves), and phase angles α = [0, 45, 90, 135]°. We assumed that radial velocities are measured on solar reflected lines (Fraunhofer), which explains why radial velocities can be larger than ±1 m s−1. Left panels are slices along the equator and right frames are maps. Top maps are the true radial velocity signal, and bottom are the same degraded by a 3-arcsec atmospheric seeing.

Current usage metrics show cumulative count of Article Views (full-text article views including HTML views, PDF and ePub downloads, according to the available data) and Abstracts Views on Vision4Press platform.

Data correspond to usage on the plateform after 2015. The current usage metrics is available 48-96 hours after online publication and is updated daily on week days.

Initial download of the metrics may take a while.