Free Access

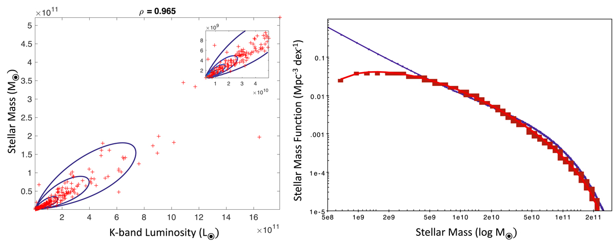
Fig. 3.

image

Panel a: bivariate PDF LKMstar: estimated bivariate PDF shown in linear scale (and enlarged in the inset) for the K-band with the stellar masses. Contour lines correspond to levels 0.1, 0.3, 0.5, 0.7, and 0.9. These values correspond to the fraction of the peak value of the BLF that is set to one. Panel b: reconstructed stellar mass function of the HRS sample (red line) shown together with the best fit of the Galactic mass function given by Baldry et al. (2012) for the GAMA survey (blue line).

Current usage metrics show cumulative count of Article Views (full-text article views including HTML views, PDF and ePub downloads, according to the available data) and Abstracts Views on Vision4Press platform.

Data correspond to usage on the plateform after 2015. The current usage metrics is available 48-96 hours after online publication and is updated daily on week days.

Initial download of the metrics may take a while.