Free Access

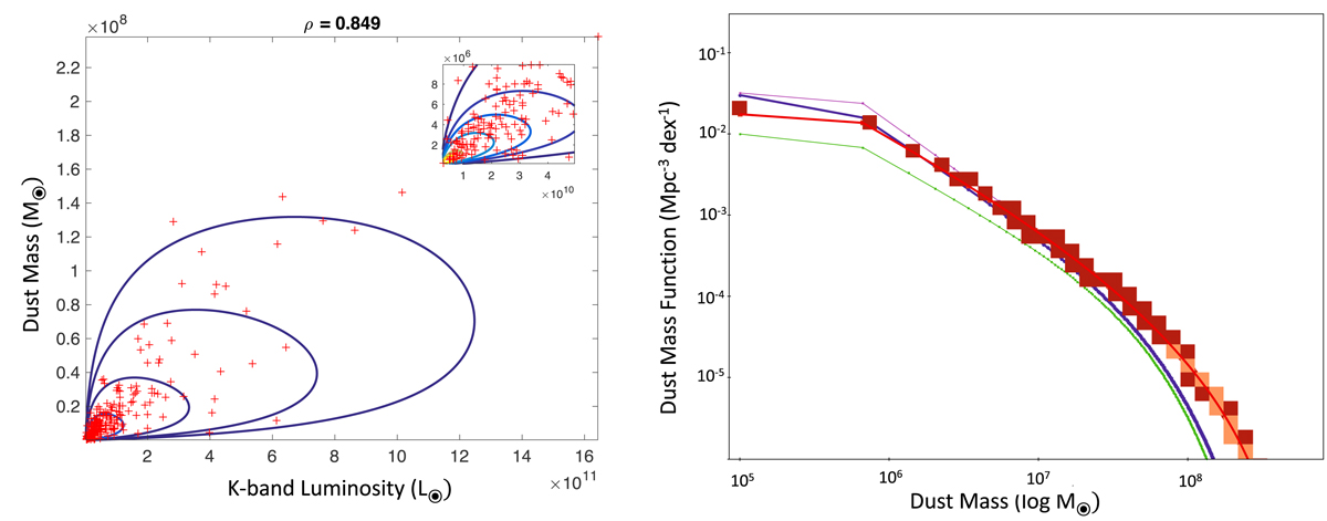
Fig. 5.

image

Panel a: bivariate PDF L(K)−Mdust, same as Fig. 4 for the K-band luminosity and the dust mass. Panel b: reconstructed dust mass function of the HRS sample (red line) shown together with the DMFs computed over local blind IR surveys: Dunne et al. (2011; green), Beeston et al. (2018; blue), Clemens et al. (2013; purple and grey).

Current usage metrics show cumulative count of Article Views (full-text article views including HTML views, PDF and ePub downloads, according to the available data) and Abstracts Views on Vision4Press platform.

Data correspond to usage on the plateform after 2015. The current usage metrics is available 48-96 hours after online publication and is updated daily on week days.

Initial download of the metrics may take a while.