Free Access

Fig. 7.

image

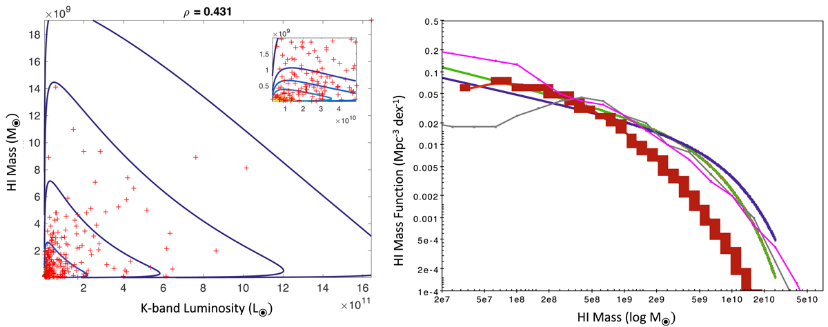
Panel a: bivariate PDF L(K)−M(HI), same as Fig. 4 for the K-band luminosity and the atomic gas mass. Panel b: reconstructed atomic gas mass function of the HRS sample (red curve) shown together with the gas mass computed in the Local Universe by Martin et al. (2010), and Zwaan et al. (2005; blue and green curves respectively) and models by Popping et al. (2014), and Lagos et al. (2011; purple and grey points/lines).

Current usage metrics show cumulative count of Article Views (full-text article views including HTML views, PDF and ePub downloads, according to the available data) and Abstracts Views on Vision4Press platform.

Data correspond to usage on the plateform after 2015. The current usage metrics is available 48-96 hours after online publication and is updated daily on week days.

Initial download of the metrics may take a while.