Free Access

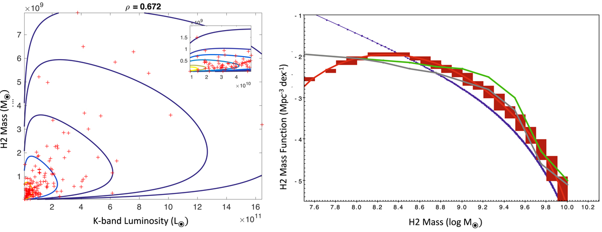
Fig. 8.

image

Panel a: bivariate PDF L(K)−M(H2), same as Fig. 4 for the K-band luminosity and the molecular gas mass. Panel b: reconstructed molecular gas mass function of the HRS sample shown together with the predicted ones by (Lagos et al. 2011; green and grey lines), and the molecular mass function derived from the L′(CO) function from (Saintonge et al. 2017; blue line).

Current usage metrics show cumulative count of Article Views (full-text article views including HTML views, PDF and ePub downloads, according to the available data) and Abstracts Views on Vision4Press platform.

Data correspond to usage on the plateform after 2015. The current usage metrics is available 48-96 hours after online publication and is updated daily on week days.

Initial download of the metrics may take a while.