Free Access

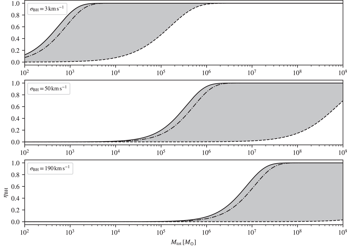
Fig. A.5.

image

Analytic estimate of the retention fraction for a broader range of masses. Here, we use the relation from Marks & Kroupa (2012, Eq. (7)) to compute the appropriate radius of the system with a given mass. The escape velocity, Eq. (6), is calculated from 0 pc (solid line), the tidal radius (dashed line) determined from Eq. (4), and the half-mass radius of the model (dashdotted line).

Current usage metrics show cumulative count of Article Views (full-text article views including HTML views, PDF and ePub downloads, according to the available data) and Abstracts Views on Vision4Press platform.

Data correspond to usage on the plateform after 2015. The current usage metrics is available 48-96 hours after online publication and is updated daily on week days.

Initial download of the metrics may take a while.