Free Access

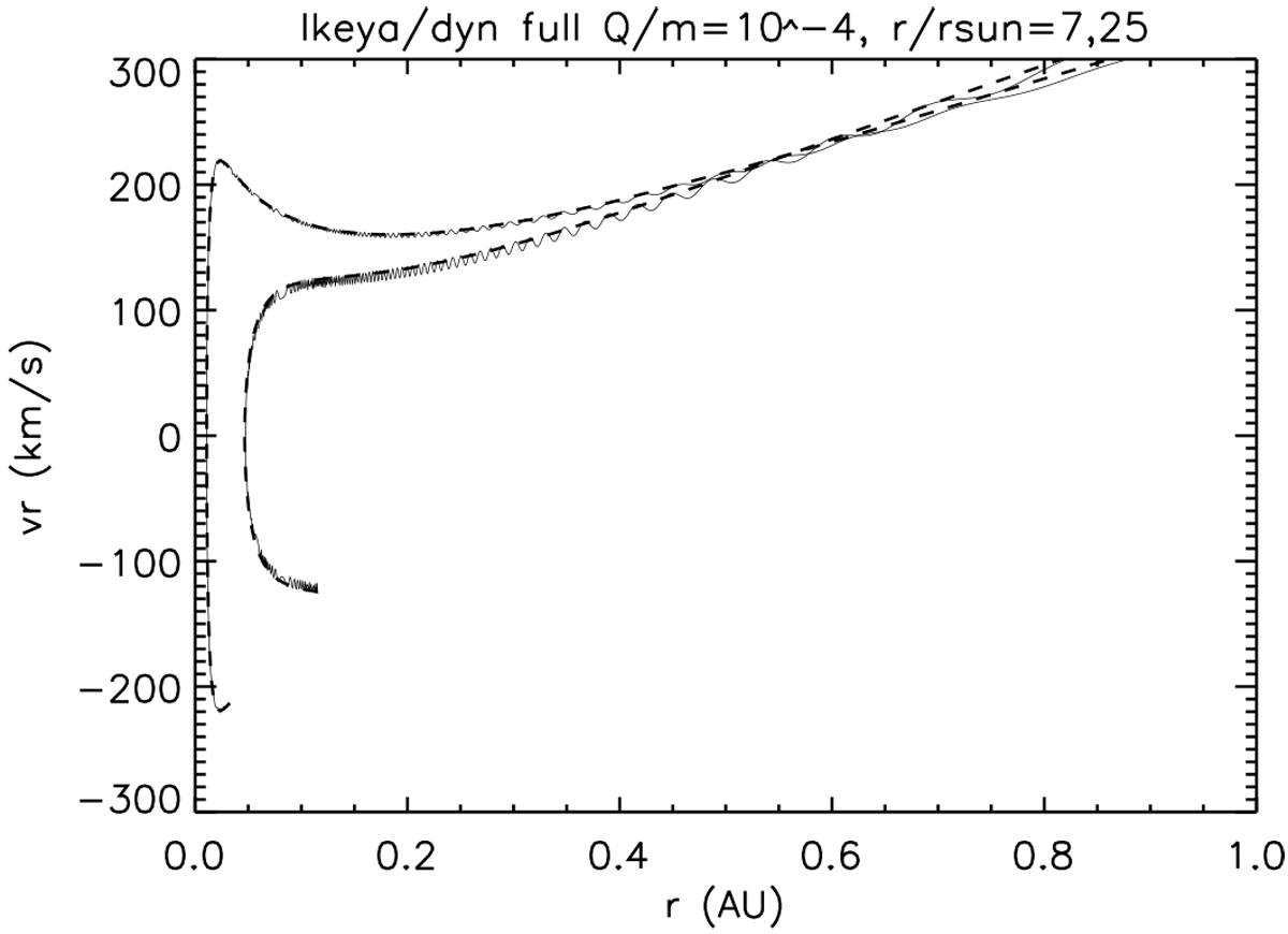
Fig. 3

image

Trajectories of the nanodust particles released from the orbit of the comet Ikeya–Seki before perihelium, at the heliocentric distances of 25 and 7 RS. The solid lines are the trajectories (projected onto the (r, vr) plane) obtained solving numerically the equations of motion for the nanodust particles with Qm = 10−4 e/mp, β  =   0.1. The dashed lines are obtained from Eqs. (12) and (13).

Current usage metrics show cumulative count of Article Views (full-text article views including HTML views, PDF and ePub downloads, according to the available data) and Abstracts Views on Vision4Press platform.

Data correspond to usage on the plateform after 2015. The current usage metrics is available 48-96 hours after online publication and is updated daily on week days.

Initial download of the metrics may take a while.