Open Access

Fig. 4.

image

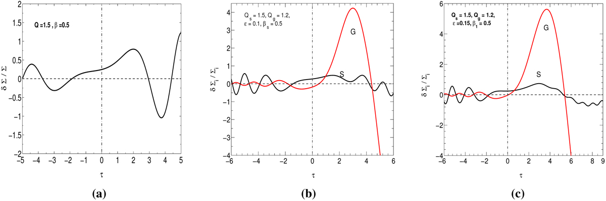
Variation in θ = δΣ/Σ, the ratio of the perturbation surface density to the unperturbed surface density, with τ, dimensionless time in the sheared frame, plotted for three different models of a galactic disk. Panel a shows the case for a one-fluid system whereas panels b and c show results for gravitationally-coupled, two-fluid (stars and gas) cases where stellar disk has a finite thickness with the gas disk being infinitesimally-thin. The assumed input parameters (Qs, Qg, ϵ, βs) are indicated in the legend. As seen clearly, the introduction of finite thickness reduces the MAF while gas increases the MAF, and hence the net amplification will be set by the dominant factor (for details see text). The net amplitude αθ ≪ 1 at all τ, where α is a scale factor.

Current usage metrics show cumulative count of Article Views (full-text article views including HTML views, PDF and ePub downloads, according to the available data) and Abstracts Views on Vision4Press platform.

Data correspond to usage on the plateform after 2015. The current usage metrics is available 48-96 hours after online publication and is updated daily on week days.

Initial download of the metrics may take a while.