Open Access

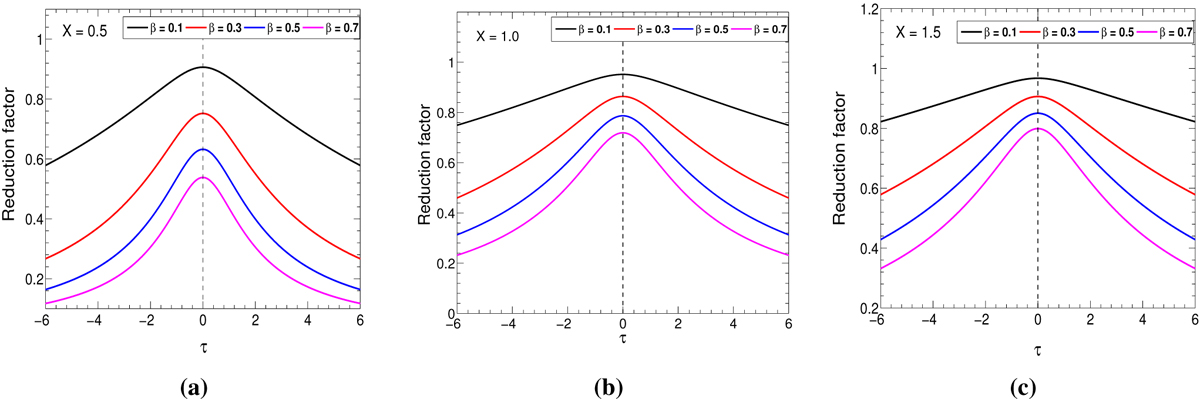
Fig. 5.

image

Reduction factor, δ for surface density (see Eq. (8)), plotted as function of τ, the dimensionless measure of time in the sheared frame, for different finite thickness (β ) and X values. Panel a shows the case for X = 0.5, panel b for X = 1.0, and panel c shows the case for X = 1.5. As seen clearly, the reduction is important for high |τ| values, and for smaller values of X, for details see text.

Current usage metrics show cumulative count of Article Views (full-text article views including HTML views, PDF and ePub downloads, according to the available data) and Abstracts Views on Vision4Press platform.

Data correspond to usage on the plateform after 2015. The current usage metrics is available 48-96 hours after online publication and is updated daily on week days.

Initial download of the metrics may take a while.