Free Access

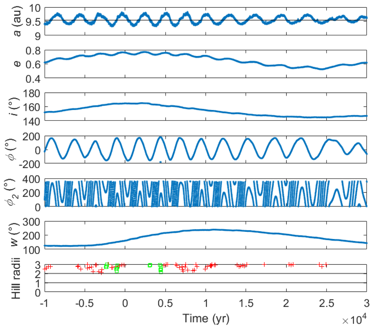
Fig. 1.

image

Properties of the nominal orbit of 2006 RJ2. From top to lower panel: semimajor axis a and location of exact 1/−1 resonance with Saturn; eccentricity e; inclination i; angle for nearly coplanar motion involving 1/−1 resonance with Saturn ϕ; 2/−5 resonant angle with Jupiter ϕ2; argument of pericenter ω; the minimum distance in close encounters with Jupiter and Saturn within three Hill’s radii of the planet is represented by red plus and green square, respectively.

Current usage metrics show cumulative count of Article Views (full-text article views including HTML views, PDF and ePub downloads, according to the available data) and Abstracts Views on Vision4Press platform.

Data correspond to usage on the plateform after 2015. The current usage metrics is available 48-96 hours after online publication and is updated daily on week days.

Initial download of the metrics may take a while.