Free Access

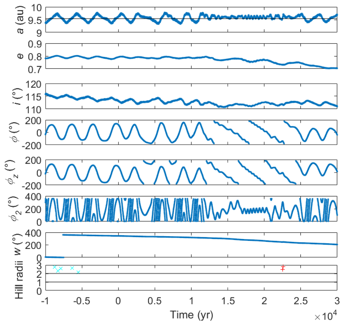
Fig. 5.

image

Cloned orbit of 2017 SV13. Since its orbit is far from the planar case, another 1/−1 resonant angle with Saturn ϕz is included. In the last panel, the minimum distance in close encounters with Jupiter and Uranus within three Hill’s radii of the planet is represented by red plus and cyan cross, respectively. The other basic meaning of this figure is the same as Fig. 1.

Current usage metrics show cumulative count of Article Views (full-text article views including HTML views, PDF and ePub downloads, according to the available data) and Abstracts Views on Vision4Press platform.

Data correspond to usage on the plateform after 2015. The current usage metrics is available 48-96 hours after online publication and is updated daily on week days.

Initial download of the metrics may take a while.