Open Access

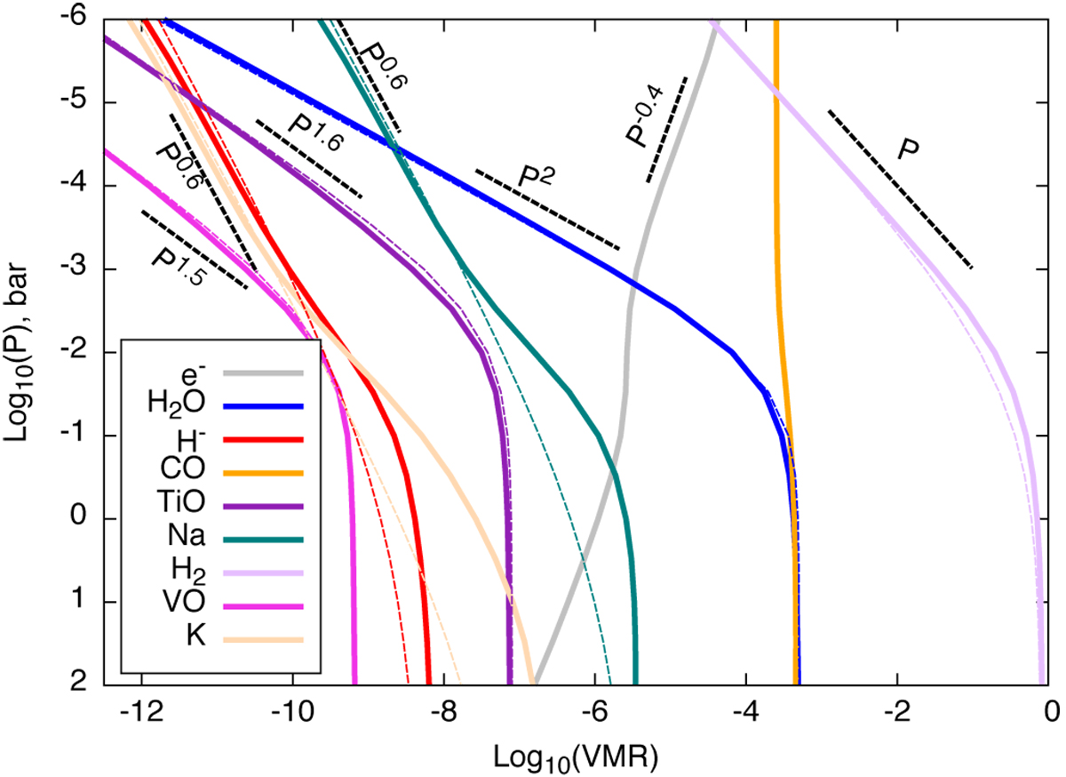
Fig. 1

image

Abundances of the main spectrally active species in hot atmospheres as a function of pressure and for a temperature of 3000 K. The solid lines are calculated with the NASA CEA Gibbs minimization code (see text for details) while the dashed linesare the analytical fits from Eq. (1) using the coefficients of Table 1.

Current usage metrics show cumulative count of Article Views (full-text article views including HTML views, PDF and ePub downloads, according to the available data) and Abstracts Views on Vision4Press platform.

Data correspond to usage on the plateform after 2015. The current usage metrics is available 48-96 hours after online publication and is updated daily on week days.

Initial download of the metrics may take a while.