Free Access

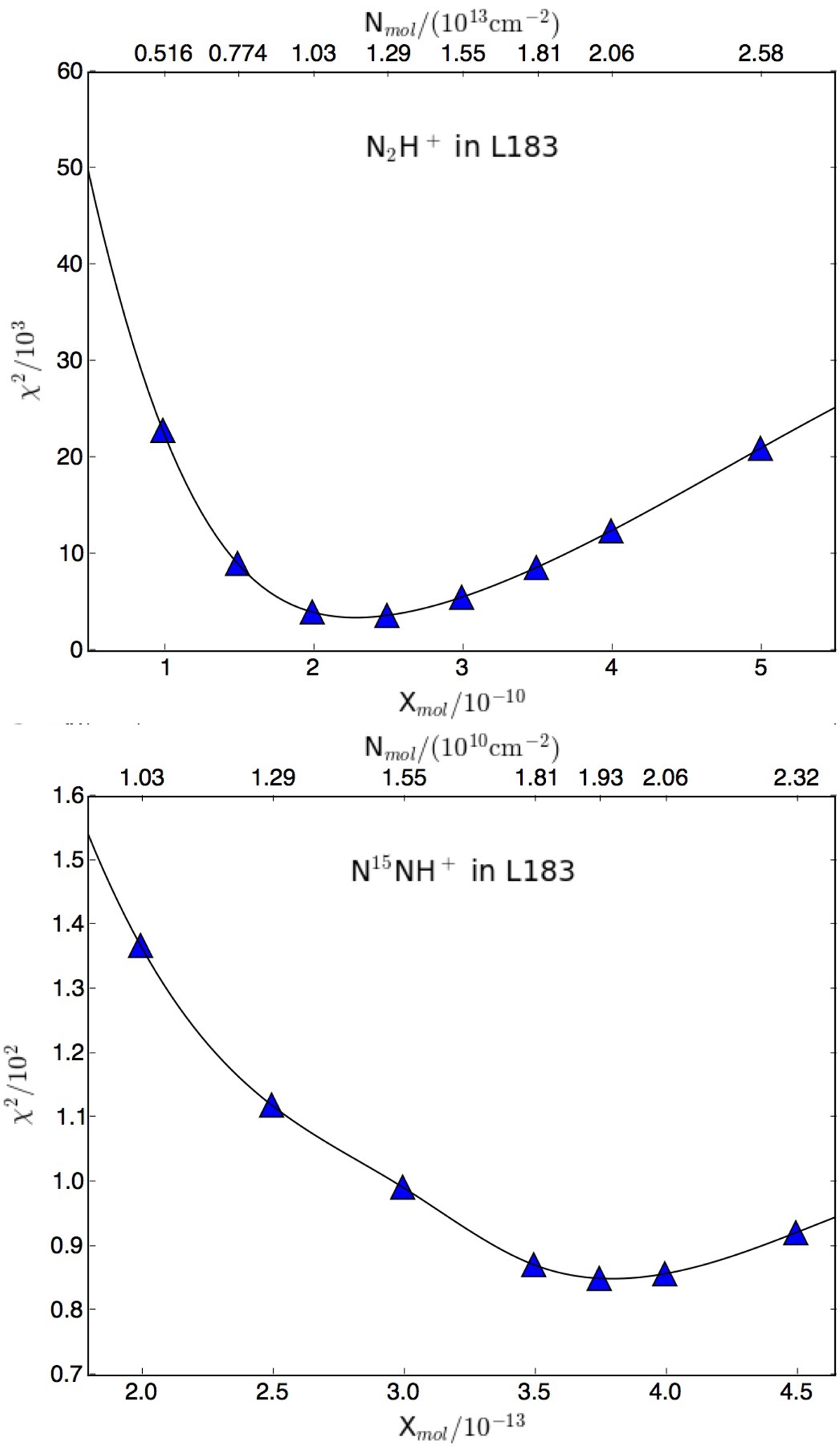
Fig. B.1.

image

The χ2 values for different abundance values (and corresponding column densities) in L183, for N2H+ (upper panel) and N15NH+ (lower panel). The black curve is the one used to estimate the uncertainties, according to what said in Sect. 4.2.

Current usage metrics show cumulative count of Article Views (full-text article views including HTML views, PDF and ePub downloads, according to the available data) and Abstracts Views on Vision4Press platform.

Data correspond to usage on the plateform after 2015. The current usage metrics is available 48-96 hours after online publication and is updated daily on week days.

Initial download of the metrics may take a while.