Open Access

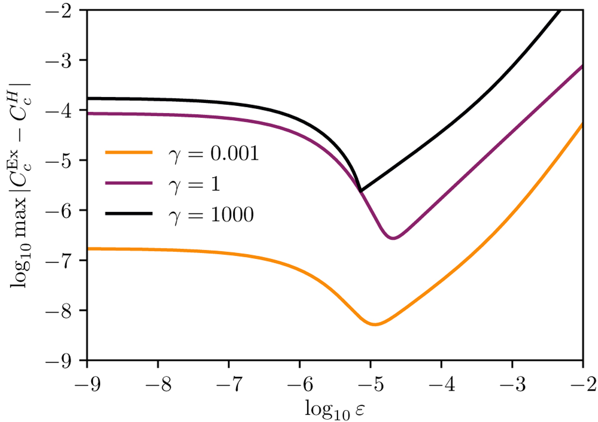
Fig. 3

image

Maximum difference between (Eq. (25)) and (Eq. (30)) on the right-hand sides of Eqs. (25) and (26), respectively, as a function of ε for various values of γ = m1m2. In Eq. (25), the term h1 is evaluated using the approximation of the kinetic term given in Appendix B.

Current usage metrics show cumulative count of Article Views (full-text article views including HTML views, PDF and ePub downloads, according to the available data) and Abstracts Views on Vision4Press platform.

Data correspond to usage on the plateform after 2015. The current usage metrics is available 48-96 hours after online publication and is updated daily on week days.

Initial download of the metrics may take a while.