Free Access

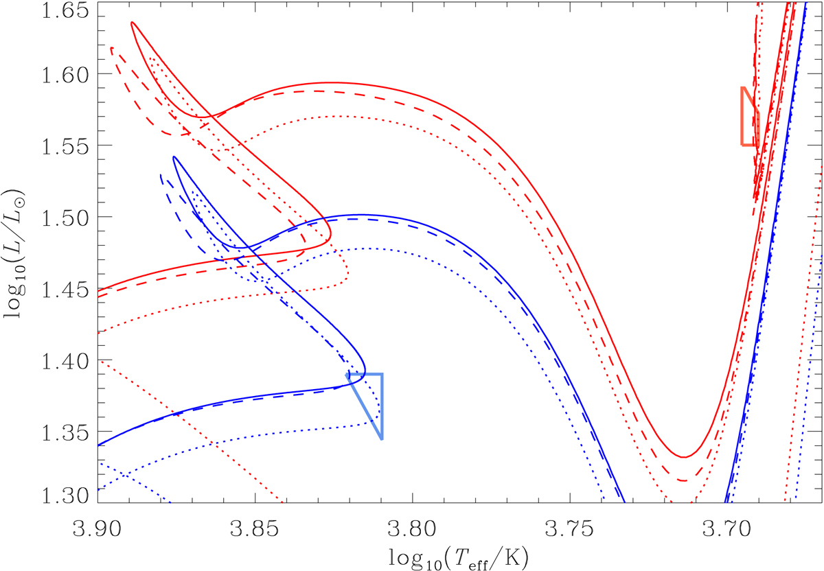
Fig. 3.

image

HRD of our best fit GARSTEC models. The models for primary and secondary are shown in red and blue, respectively, and the error boxes of their HRD positions are enclosed by lines of the same colour. Solid, dashed, and dotted lines correspond to models G-II, G-I, and G-III, respectively

Current usage metrics show cumulative count of Article Views (full-text article views including HTML views, PDF and ePub downloads, according to the available data) and Abstracts Views on Vision4Press platform.

Data correspond to usage on the plateform after 2015. The current usage metrics is available 48-96 hours after online publication and is updated daily on week days.

Initial download of the metrics may take a while.