Open Access

Fig. 1.

image

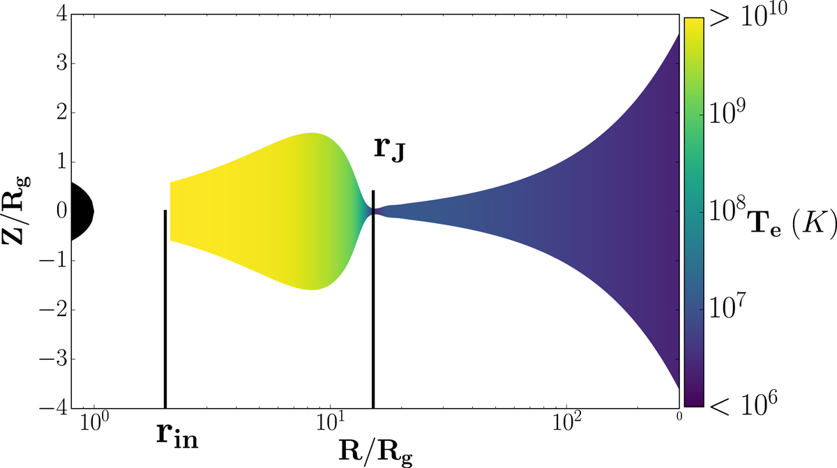
Example of hybrid disk configuration in the JED-SAD paradigm. The inner disk regions are in a jet-emitting disk (JED) mode, up to a transition radius rJ, beyond which a standard accretion disk (SAD) is settled. The disk scale height H(R) is accurately displayed, while colors correspond to the central electronic temperature Te in Kelvin. The disk switches from an outer optically thick, geometrically thin jet-less disk to an inner optically thin, geometrically thick disk launching self-confined jets (not shown here). This solution has been computed for a transition radius rJ = 15 and a disk accretion rate in = 0.1 at the disk inner radius rin = 2 (see Sect. 2.1 for more details). Other similar examples are shown in Fig. 11 for different pairs (in, rJ).

Current usage metrics show cumulative count of Article Views (full-text article views including HTML views, PDF and ePub downloads, according to the available data) and Abstracts Views on Vision4Press platform.

Data correspond to usage on the plateform after 2015. The current usage metrics is available 48-96 hours after online publication and is updated daily on week days.

Initial download of the metrics may take a while.