Open Access

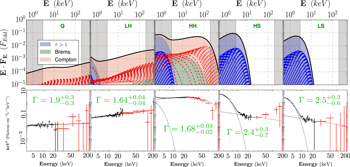
Fig. 10.

image

Theoretical SED (top) and XSPEC spectral fits (bottom) for the five canonical spectral states computed in Fig. 9. It can be seen that hard state spectra are always dominated by the comptonization of soft photons, mostly due to local Bremsstrahlung and cold photons from the outer SAD. The white area in the theoretical SED corresponds to the observationally relevant 3–200 keV energy band. The value of the spectral index Γ is shown for each state, with its errors.

Current usage metrics show cumulative count of Article Views (full-text article views including HTML views, PDF and ePub downloads, according to the available data) and Abstracts Views on Vision4Press platform.

Data correspond to usage on the plateform after 2015. The current usage metrics is available 48-96 hours after online publication and is updated daily on week days.

Initial download of the metrics may take a while.