Open Access

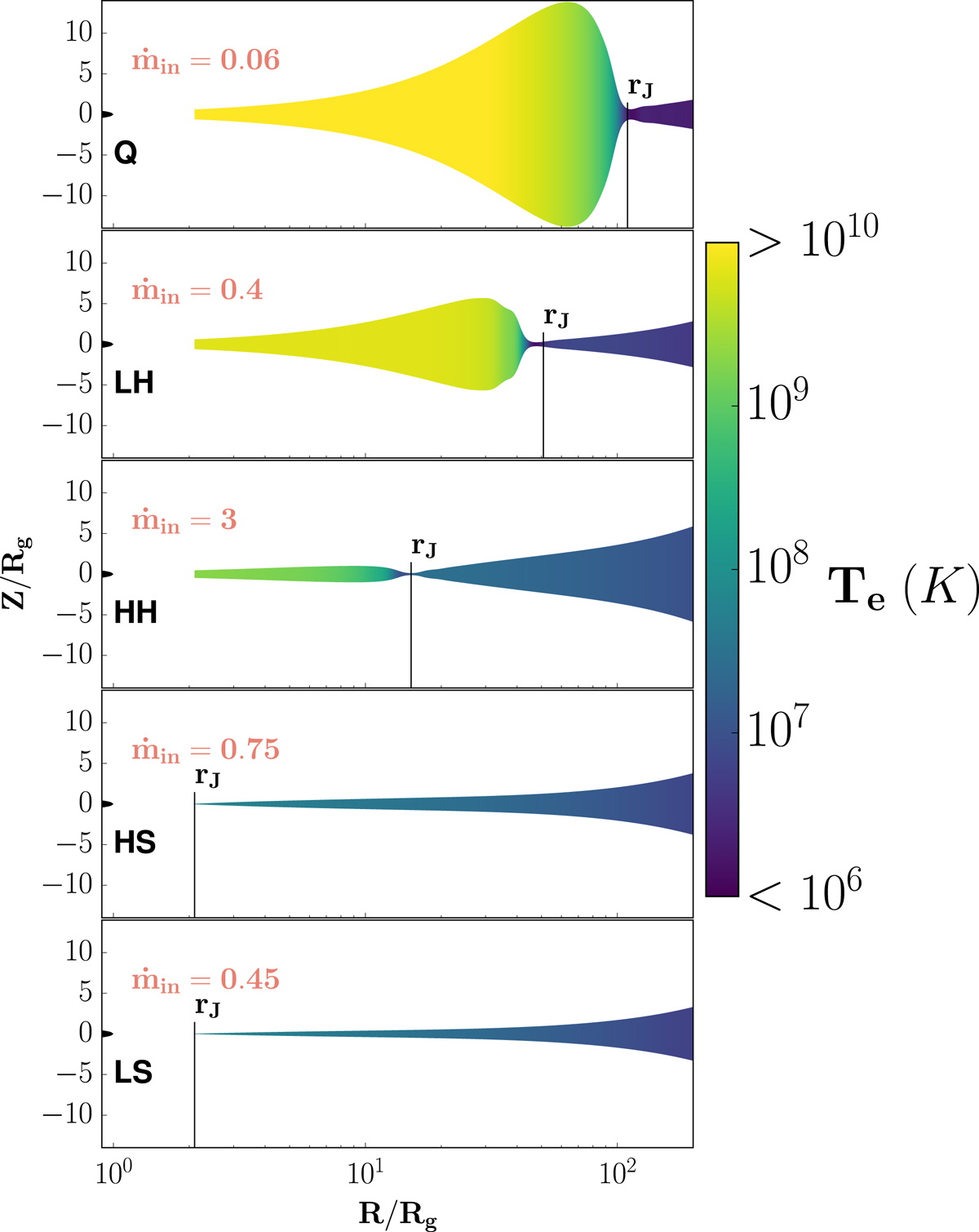
Fig. 11.

image

Computed geometrical shape of the hybrid disk, consistent with the dynamical resolution (Fig. 9) and SED (Fig. 10) for each of the five canonical states. The color background is the central electron temperature. We note that the X-scale is logarithmic and the Y-scale is linear.

Current usage metrics show cumulative count of Article Views (full-text article views including HTML views, PDF and ePub downloads, according to the available data) and Abstracts Views on Vision4Press platform.

Data correspond to usage on the plateform after 2015. The current usage metrics is available 48-96 hours after online publication and is updated daily on week days.

Initial download of the metrics may take a while.