Open Access

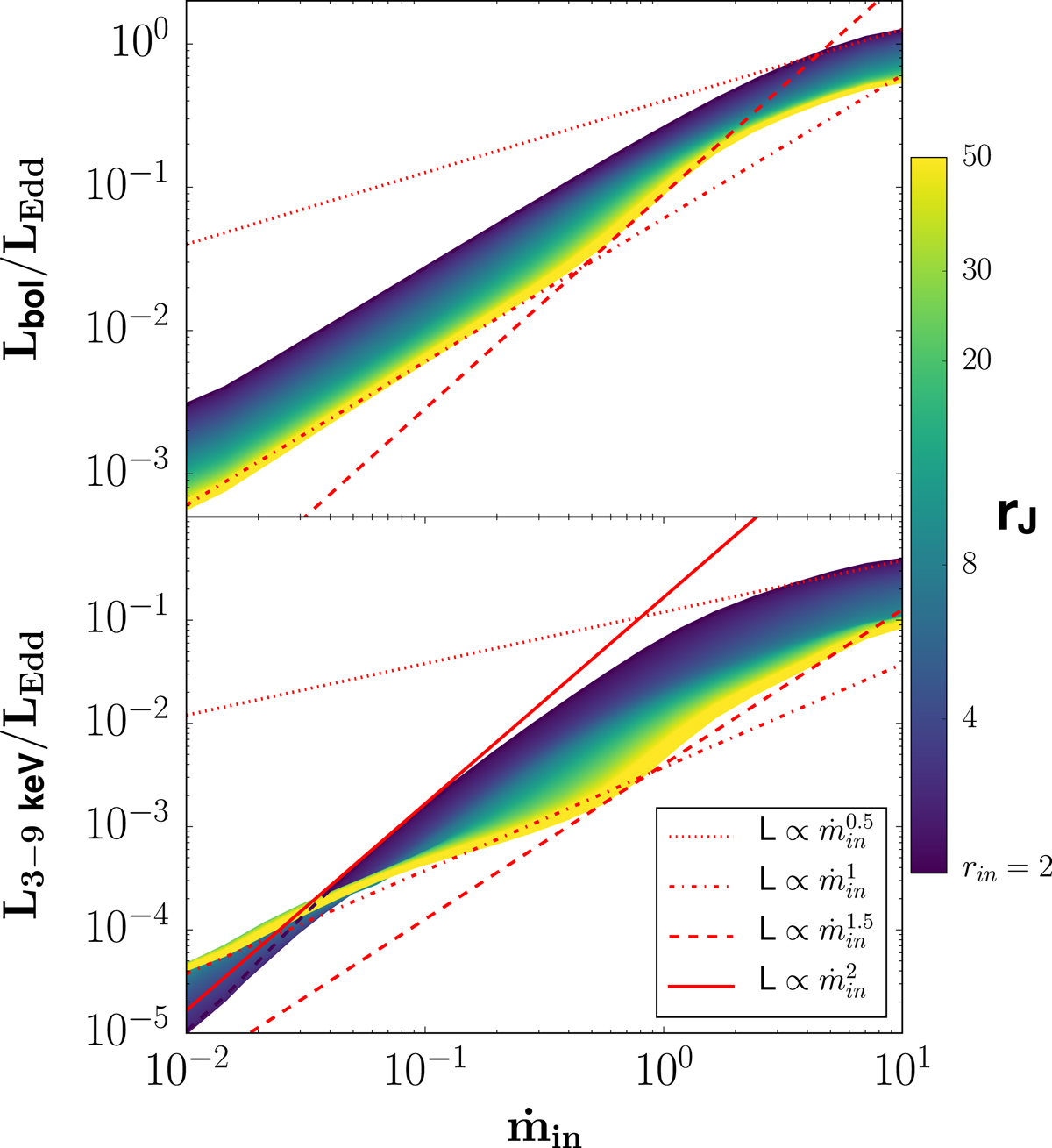
Fig. 6.

image

Bolometric (top) and 3–9 keV (bottom) luminosities in function of the mass accretion rate in onto the black hole. This plot is extracted from Fig. 5, done with a 10% hard tail (right). The colors are for different values of the transition radius rJ. Four different regimes are shown. Also, the rJ = rin has been drawn in dashed black to be visible at low accretion rate in the bottom panel.

Current usage metrics show cumulative count of Article Views (full-text article views including HTML views, PDF and ePub downloads, according to the available data) and Abstracts Views on Vision4Press platform.

Data correspond to usage on the plateform after 2015. The current usage metrics is available 48-96 hours after online publication and is updated daily on week days.

Initial download of the metrics may take a while.