Open Access

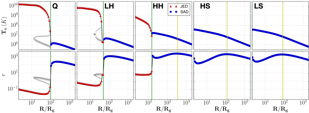
Fig. 9.

image

Computed radial structures of hybrid JED-SAD disk configurations associated to the canonical states defined in Table 1. From left to right: Q for quiescent state, LH for low-hard, HH for high-hard, HS for high-soft and LS for low-soft. Top: electron temperature Te at the disk mid plane. Bottom: Thomson optical depth τT. Red triangles show the JED zone, and blue dots describe the SAD zone. The vertical green line marks their separation at the transition radius rJ. The vertical yellow line marks the transition from a gas to radiation pressure supported regime within the SAD. In addition, the other two possible thermal solutions are shown in gray when present, the unstable in circles and the thin disk in triangles; see Paper II.

Current usage metrics show cumulative count of Article Views (full-text article views including HTML views, PDF and ePub downloads, according to the available data) and Abstracts Views on Vision4Press platform.

Data correspond to usage on the plateform after 2015. The current usage metrics is available 48-96 hours after online publication and is updated daily on week days.

Initial download of the metrics may take a while.