Free Access

Fig. 21

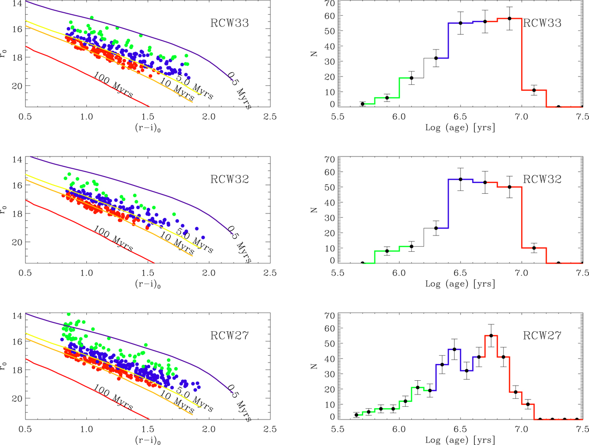
image

Intrinsic CMDs and age distributions of the M-type candidate members falling in the three regions defined in Table 4 and grouped into three age ranges, i.e., t < 2 Myr, 2 < t/[Myr] < 5, and t > 5 Myr, indicated with green, blue, and red symbols, respectively. Several representative isochrones are overplotted in the CMD.

Current usage metrics show cumulative count of Article Views (full-text article views including HTML views, PDF and ePub downloads, according to the available data) and Abstracts Views on Vision4Press platform.

Data correspond to usage on the plateform after 2015. The current usage metrics is available 48-96 hours after online publication and is updated daily on week days.

Initial download of the metrics may take a while.