Free Access

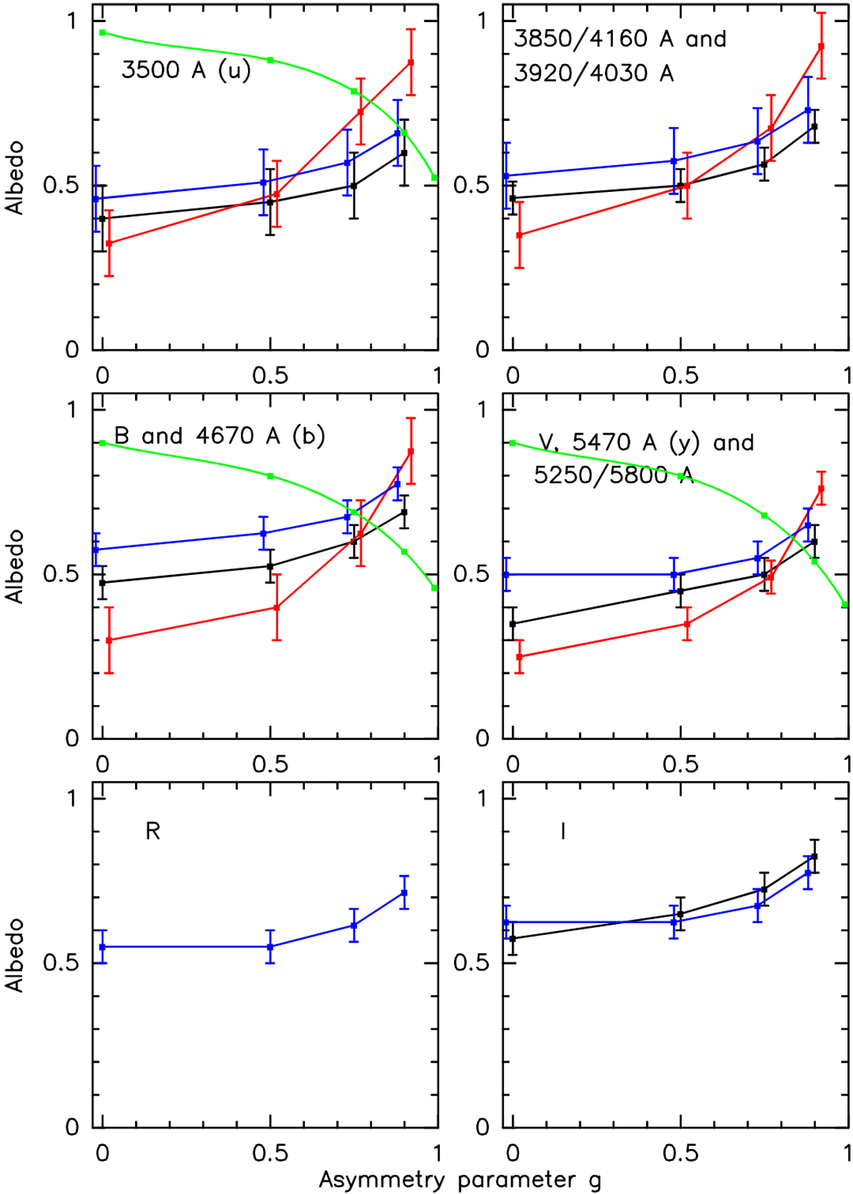
Fig. 10

image

Albedo values vs. asymmetry parameter g derived from modelling as shown in Fig. A.1. Results are shown for LDN 1780 (blue symbols), LDN 1642 (black), and Draco nebula (red). For reference also the results for the Coalsack are shown in the UBV bands (green lines) (Mattila 1970b).

Current usage metrics show cumulative count of Article Views (full-text article views including HTML views, PDF and ePub downloads, according to the available data) and Abstracts Views on Vision4Press platform.

Data correspond to usage on the plateform after 2015. The current usage metrics is available 48-96 hours after online publication and is updated daily on week days.

Initial download of the metrics may take a while.