Free Access

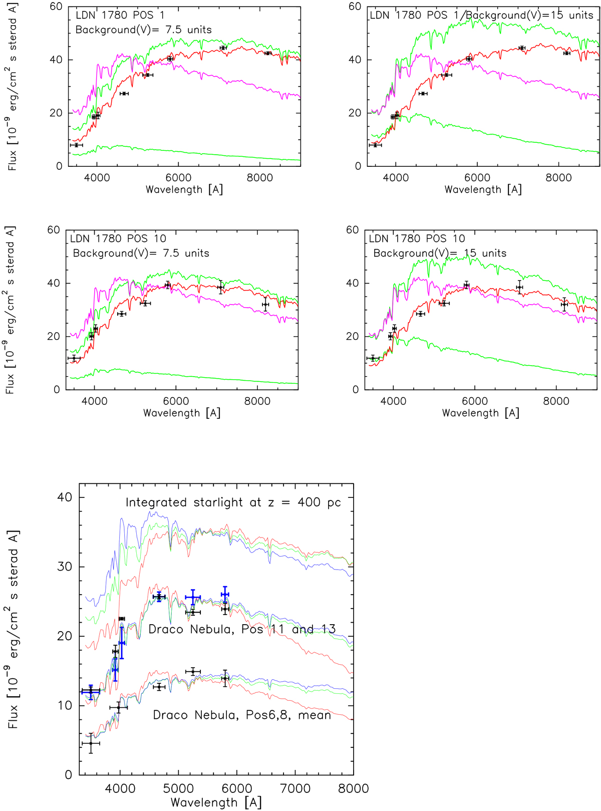
Fig. 14

image

Spectral energy distributions for Pos. 1 (upper left and upper right panels) and Pos. 10 (middle left and middle right panels)in LDN 1780, and Pos. 11 and 13 and mean of Pos. 6 and 8 in Draco nebula (bottom left panel). Observations are as in Fig. 1, model curves are according to starlight models (see text).

Current usage metrics show cumulative count of Article Views (full-text article views including HTML views, PDF and ePub downloads, according to the available data) and Abstracts Views on Vision4Press platform.

Data correspond to usage on the plateform after 2015. The current usage metrics is available 48-96 hours after online publication and is updated daily on week days.

Initial download of the metrics may take a while.