Free Access

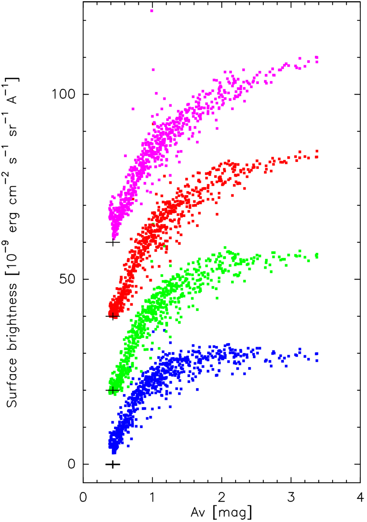
Fig. 5

image

VYSOS BV Ri surface brightness vs. visual extinction in LDN 1780. The relationships are shown from bottom to top in different colous: B (blue dots), V (green, shifted by +20 units), R (red, shifted by +40 units), and i (magenta, shifted by +60 units). The black crosses at AV = 0.43 mag indicate the zero level for each surface brightness band.

Current usage metrics show cumulative count of Article Views (full-text article views including HTML views, PDF and ePub downloads, according to the available data) and Abstracts Views on Vision4Press platform.

Data correspond to usage on the plateform after 2015. The current usage metrics is available 48-96 hours after online publication and is updated daily on week days.

Initial download of the metrics may take a while.