Open Access

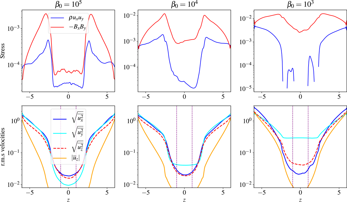
Fig. 2.

image

Top: vertical profiles of horizontally-averaged Reynolds and Maxwell stresses. Bottom: vertical profiles of horizontally-averaged rms velocity fluctuations, computed in the three directions. The orange lines denote the absolute value of the mean wind ū(z) component. To help with reading, we add vertical dashed lines in the bottom panels which indicate the disc heightscale H. From left to right: β = 105, 104 and 103.

Current usage metrics show cumulative count of Article Views (full-text article views including HTML views, PDF and ePub downloads, according to the available data) and Abstracts Views on Vision4Press platform.

Data correspond to usage on the plateform after 2015. The current usage metrics is available 48-96 hours after online publication and is updated daily on week days.

Initial download of the metrics may take a while.