Open Access

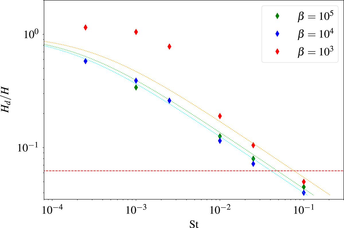
Fig. 7.

image

Dust heightscale Hd as a function of the Stokes number for three different plasma β. The diamond markers correspond to direct measurement from numerical simulations, with the definition given by Eq. (25). The dotted curves are derived from a simple diffusion model assuming that gravitational settling is balanced by homogenous turbulent diffusion (see Dubrulle et al. 1995; Fromang & Papaloizou 2006, and Sect. 5). The dashed/red horizontal line denotes the size of the numerical cells.

Current usage metrics show cumulative count of Article Views (full-text article views including HTML views, PDF and ePub downloads, according to the available data) and Abstracts Views on Vision4Press platform.

Data correspond to usage on the plateform after 2015. The current usage metrics is available 48-96 hours after online publication and is updated daily on week days.

Initial download of the metrics may take a while.