Free Access

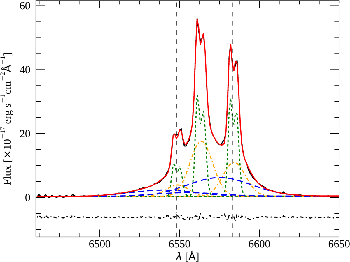
Fig. A.7.

image

Hα and [N II]λλ6548-84 Å emission lines (black solid line) and best-fit model (red solid line). Each line is modeled using the [O III] model, the 1N and 2N components are plotted together with the green dotted line, the I component is shown with the golded dot-dashed line, and the VB component with the blue dashed line. The residuals of the fit are normalized and plotted below the spectrum (black dot-dashed line). The vertical dashed lines mark the restframe wavelength of the fitted emission lines.

Current usage metrics show cumulative count of Article Views (full-text article views including HTML views, PDF and ePub downloads, according to the available data) and Abstracts Views on Vision4Press platform.

Data correspond to usage on the plateform after 2015. The current usage metrics is available 48-96 hours after online publication and is updated daily on week days.

Initial download of the metrics may take a while.