Free Access

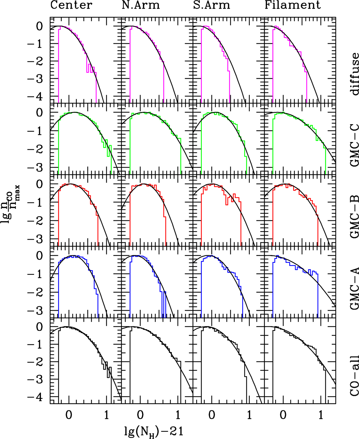
Fig. 7.

image

Best-fit log-normal functions to the PDF of the total CO, and of the CO in GMCs of type A, B, C, and diffuse in the four selected regions of the M 33 disk. Each PDF is normalized to its maximum value.

Current usage metrics show cumulative count of Article Views (full-text article views including HTML views, PDF and ePub downloads, according to the available data) and Abstracts Views on Vision4Press platform.

Data correspond to usage on the plateform after 2015. The current usage metrics is available 48-96 hours after online publication and is updated daily on week days.

Initial download of the metrics may take a while.