Free Access

Fig. 2.

image

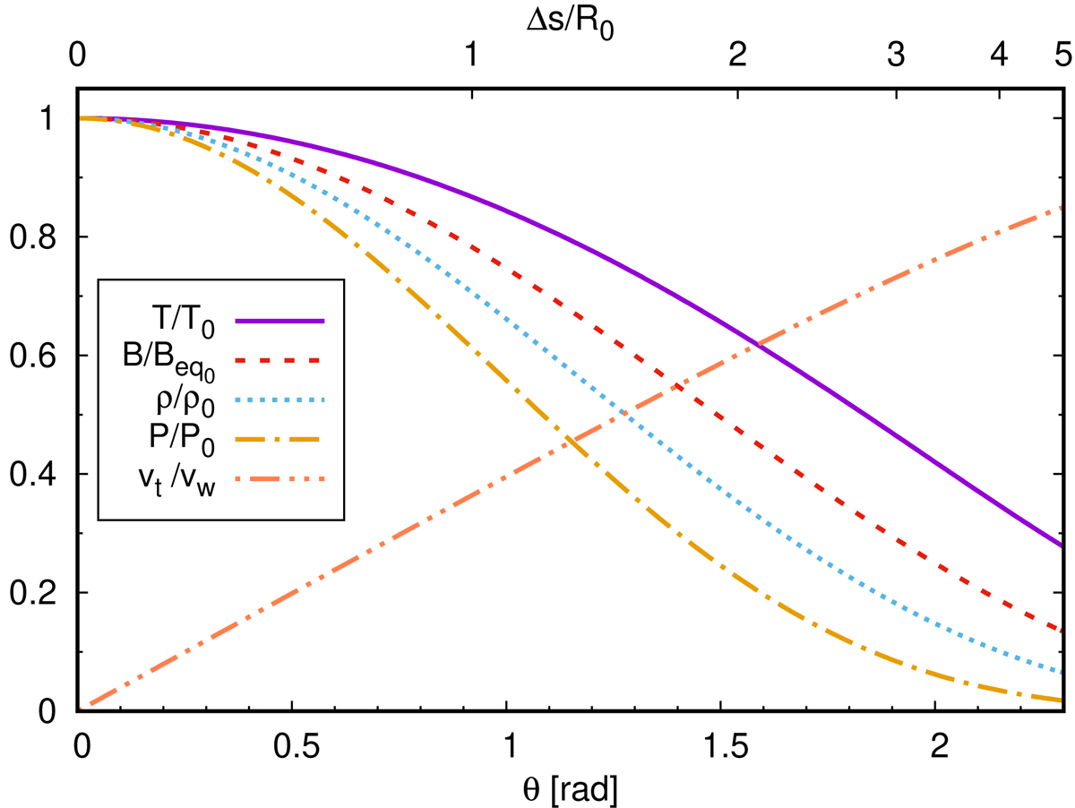
Thermodynamic quantities of the shocked SW: temperature (solid), magnetic field (long-dashed), density (short-dashed), pressure (dot-dashed), and tangential velocity (double dot-dashed). Quantities with sub-index zero are evaluated at the apex position (see text). The distance to the apex along the shock is given by .

Current usage metrics show cumulative count of Article Views (full-text article views including HTML views, PDF and ePub downloads, according to the available data) and Abstracts Views on Vision4Press platform.

Data correspond to usage on the plateform after 2015. The current usage metrics is available 48-96 hours after online publication and is updated daily on week days.

Initial download of the metrics may take a while.