Open Access

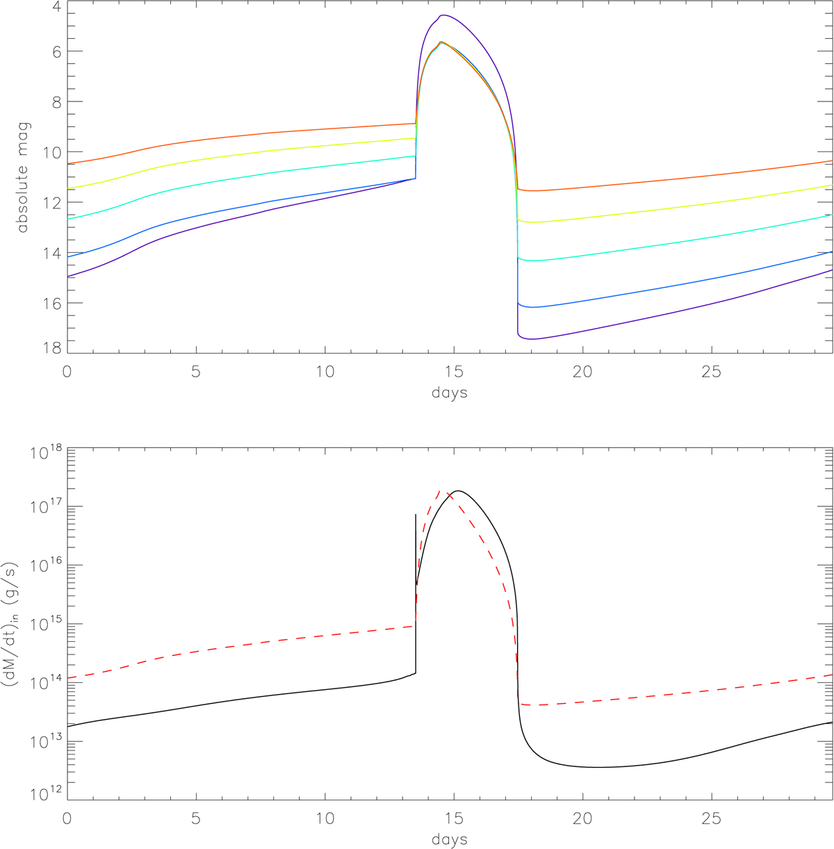
Fig. 1.

image

Absolute magnitude in U, B, V, R, I bands (blue to red, top panel) and mass accretion rate onto the white dwarf (Rin) during a dwarf nova outburst. The model parameters are M = 0.6 M, t = 1016 g s−1, Rout ≈ 2 × 1010 cm, i = 0°. The dashed line shows the (Rin) reconstructed from the V magnitude light curve assuming does not depend on radius. The reconstructed mass transfer rate is 9 × 1015 g s−1 after averaging over the outburst cycle.

Current usage metrics show cumulative count of Article Views (full-text article views including HTML views, PDF and ePub downloads, according to the available data) and Abstracts Views on Vision4Press platform.

Data correspond to usage on the plateform after 2015. The current usage metrics is available 48-96 hours after online publication and is updated daily on week days.

Initial download of the metrics may take a while.