Free Access

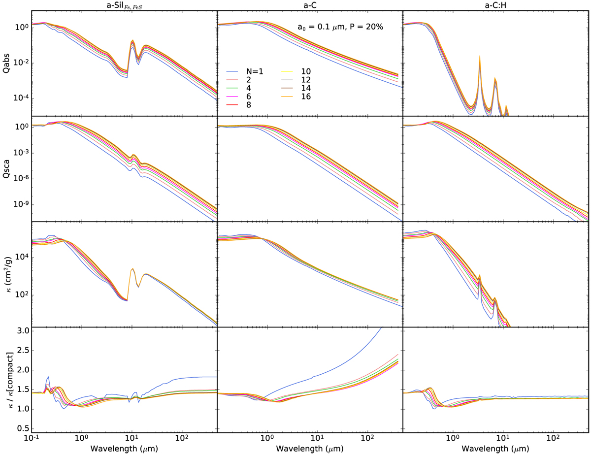
Fig. 8

image

Influence of porosity for a-SilFe,FeS (left panels), a-C (middle panels), and a-C:H (right panels) aggregates made of porous spherical monomers with radius a0 = 0.1 μm, P = 20%, and N = 1, 2, 4, 6, 8, 10, 12, 14, and 16 monomers plotted in blue, pink, green, fuchsia, red, yellow, silver, brown, and orange, respectively. Top bottom panels: Qabs (N, λ), Qsca (N, λ), κ(N, λ), and the ratioof the latter to κ(N, λ, P = 0%) for aggregates made of compact spherical monomers with radius a0 = 0.1 μm.

Current usage metrics show cumulative count of Article Views (full-text article views including HTML views, PDF and ePub downloads, according to the available data) and Abstracts Views on Vision4Press platform.

Data correspond to usage on the plateform after 2015. The current usage metrics is available 48-96 hours after online publication and is updated daily on week days.

Initial download of the metrics may take a while.