Free Access

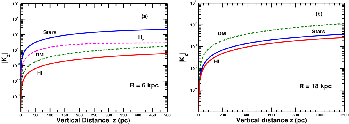
Fig. 2.

image

Vertical gravitational force exerted by each component treated separately vs. z at R = 6 kpc (a) and 18 kpc (b). At R = 6 kpc, the stellar distribution is mainly affected by the gas gravity, while at R = 18 kpc, the force due to the dark matter halo dominates and hence strongly affects the stellar distribution.

Current usage metrics show cumulative count of Article Views (full-text article views including HTML views, PDF and ePub downloads, according to the available data) and Abstracts Views on Vision4Press platform.

Data correspond to usage on the plateform after 2015. The current usage metrics is available 48-96 hours after online publication and is updated daily on week days.

Initial download of the metrics may take a while.