Free Access

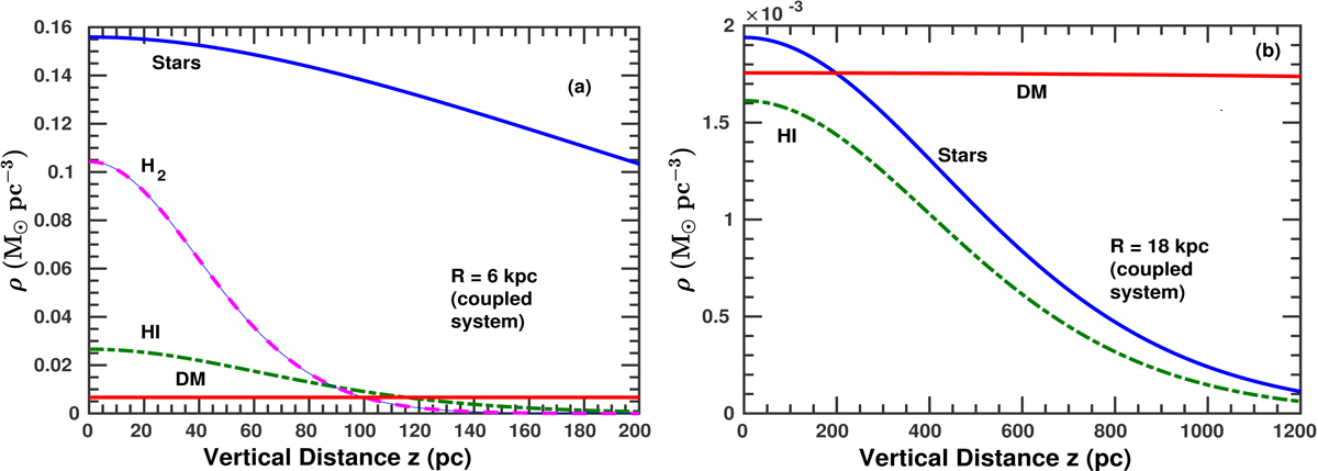
Fig. 3.

image

Density for stars and gas for the coupled system and the corresponding term due to the dark matter halo |(dKz/dz)|/4πG (Eq. (1)) vs. z, at R = 6 kpc (panel a) and at R = 18 kpc (panel b). Because of its lower dispersion, the mid-plane H2 gas density is comparable to the stellar value, and hence despite its low surface density, it can significantly affect the stellar distribution at R = 6 kpc. In the outer Galaxy, the halo gravitational effect dominates, hence it is mainly responsible for the determination of the vertical stellar distribution.

Current usage metrics show cumulative count of Article Views (full-text article views including HTML views, PDF and ePub downloads, according to the available data) and Abstracts Views on Vision4Press platform.

Data correspond to usage on the plateform after 2015. The current usage metrics is available 48-96 hours after online publication and is updated daily on week days.

Initial download of the metrics may take a while.