Open Access

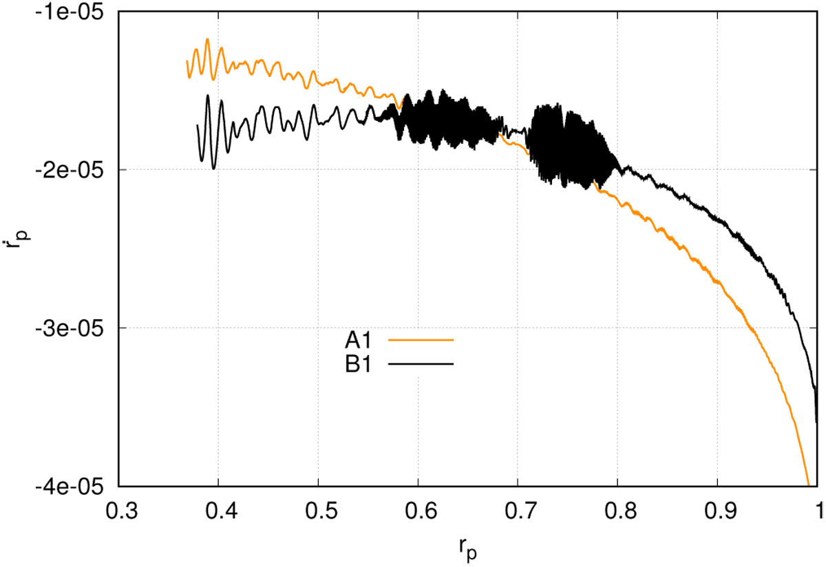
Fig. 3

image

Migration speed as a function of the semi-major axis in two simulations with α = 0.003 and same surface density. Orange curve: case A1 (s = 1∕2); same curve as Fig. 2 (not normalized here). Black curve: case B1.

Current usage metrics show cumulative count of Article Views (full-text article views including HTML views, PDF and ePub downloads, according to the available data) and Abstracts Views on Vision4Press platform.

Data correspond to usage on the plateform after 2015. The current usage metrics is available 48-96 hours after online publication and is updated daily on week days.

Initial download of the metrics may take a while.