Open Access

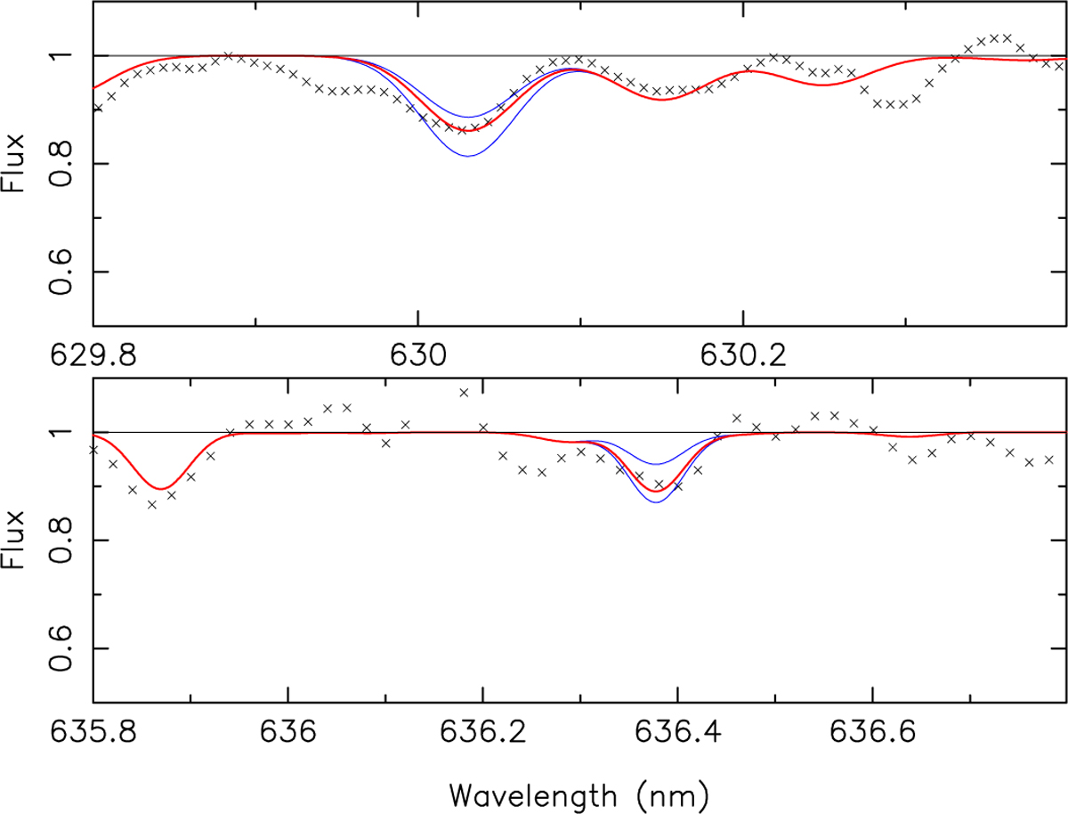
Fig. 3.

image

Fit of the profile of the forbidden oxygen lines. The abscissa is the wavelength in nm. The blue lines show the synthetic spectra computed with A(O) = 8.1 and A(O) = 8.7. The red line is the best fit obtained with A(O) = 8.3 for the line at 630 nm, and A(O) = 8.55 for the spectrum line at 636.3 nm.

Current usage metrics show cumulative count of Article Views (full-text article views including HTML views, PDF and ePub downloads, according to the available data) and Abstracts Views on Vision4Press platform.

Data correspond to usage on the plateform after 2015. The current usage metrics is available 48-96 hours after online publication and is updated daily on week days.

Initial download of the metrics may take a while.