Free Access

Fig. 2.

image

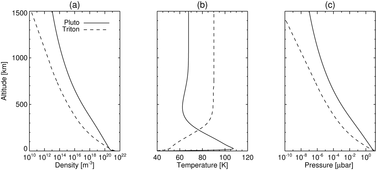
Density, temperature, and pressure of the atmospheres of Pluto and Triton (Strobel & Zhu 2017). The model for Pluto is shown at the 2015 epoch.

Current usage metrics show cumulative count of Article Views (full-text article views including HTML views, PDF and ePub downloads, according to the available data) and Abstracts Views on Vision4Press platform.

Data correspond to usage on the plateform after 2015. The current usage metrics is available 48-96 hours after online publication and is updated daily on week days.

Initial download of the metrics may take a while.