Free Access

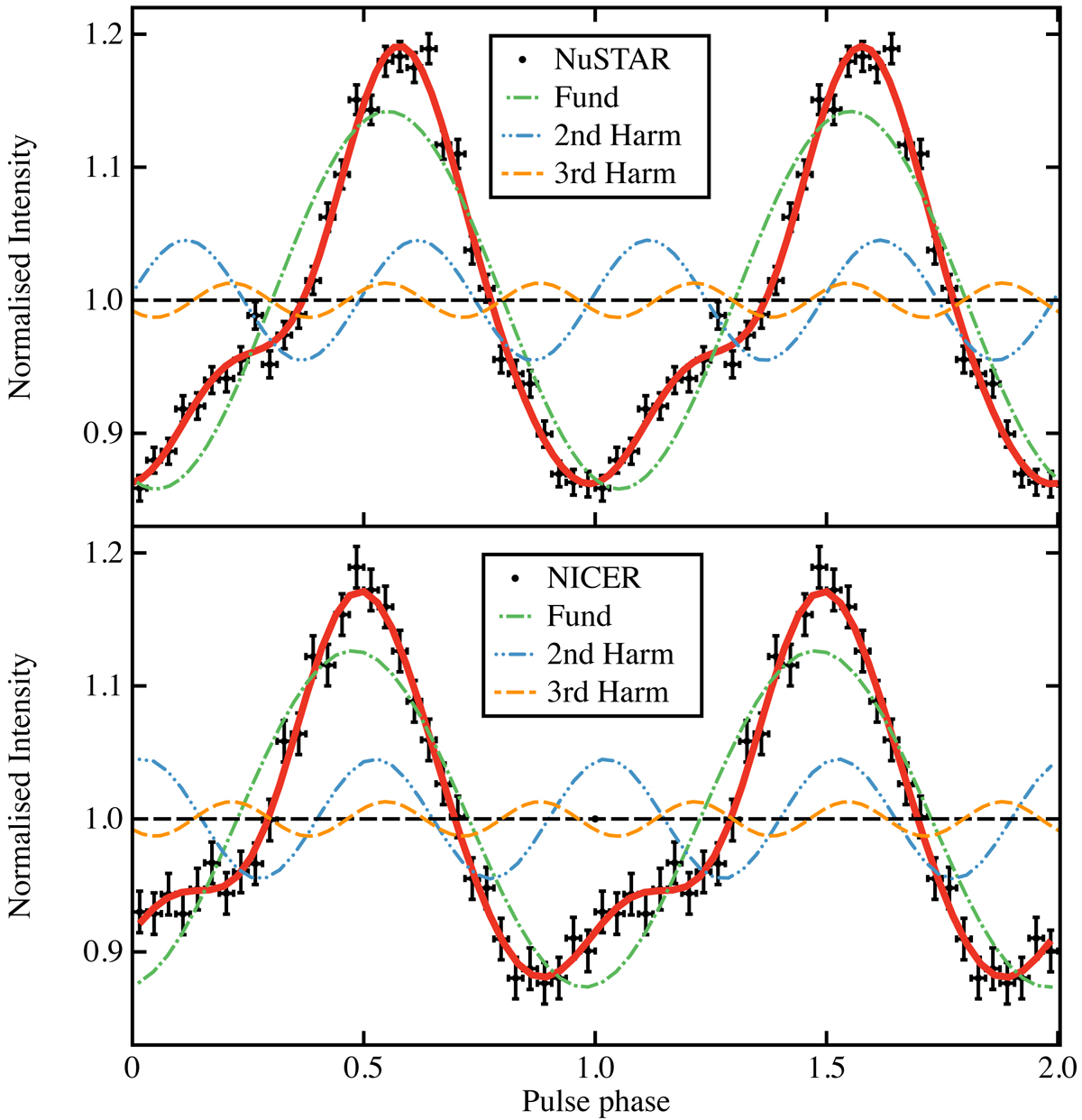
Fig. 3.

image

IGR J17591–2342 pulse profiles (black points) from epoch-folding the NuSTAR (top panel) and the NICER (bottom panel) observations after correcting for the orbital parameters reported in Table 1. The best-fitting model (red line) is the superposition of three sinusoidal functions with harmonically related periods. For clarity, we show two cycles of the pulse profile.

Current usage metrics show cumulative count of Article Views (full-text article views including HTML views, PDF and ePub downloads, according to the available data) and Abstracts Views on Vision4Press platform.

Data correspond to usage on the plateform after 2015. The current usage metrics is available 48-96 hours after online publication and is updated daily on week days.

Initial download of the metrics may take a while.