Free Access
Erratum
This article is an erratum for:
[https://doi.org/10.1051/0004-6361/201629732]


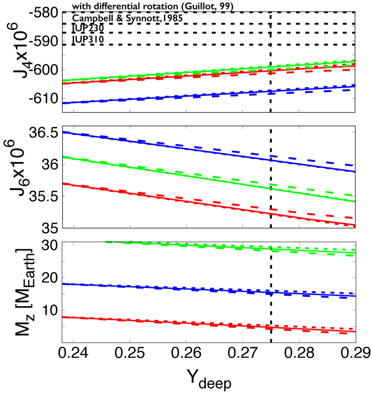
Fig. 7

image

Heavy element masses. The main differences compared with the previous results is the change in J6 and the mass of heavy elements. The mass of heavy elements with REOS3b is smaller than in the previous results.

Current usage metrics show cumulative count of Article Views (full-text article views including HTML views, PDF and ePub downloads, according to the available data) and Abstracts Views on Vision4Press platform.

Data correspond to usage on the plateform after 2015. The current usage metrics is available 48-96 hours after online publication and is updated daily on week days.

Initial download of the metrics may take a while.