Free Access

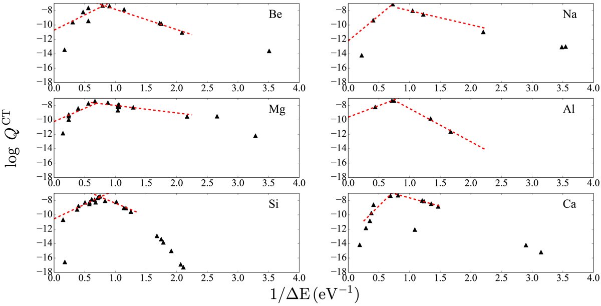
Fig. 2.

image

CT rate coefficients log QCT at T = 6000 K, for Be I, Na I, Mg I, Al I, Si I and Ca I (filled triangles) from the quantum calculations of Yakovleva et al. (2016), Barklem et al. (2010), Belyaev et al. (2012, 2014, 2017), Guitou et al. (2015), Belyaev (2013), respectively. The polynomial fits as per the EFM (dashed red lines) are also displayed on the plots.

Current usage metrics show cumulative count of Article Views (full-text article views including HTML views, PDF and ePub downloads, according to the available data) and Abstracts Views on Vision4Press platform.

Data correspond to usage on the plateform after 2015. The current usage metrics is available 48-96 hours after online publication and is updated daily on week days.

Initial download of the metrics may take a while.