Free Access

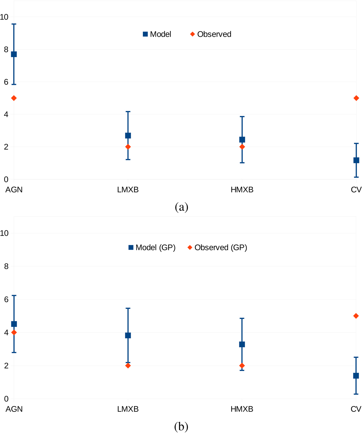
Fig. 4.

image

Statistical models derived from the data in Bird et al. (2016) vs. our results. Panel a: comparison between the whole-sky model and our data. Panel b: comparison between the Galactic plane model (GP) and our data, both restricted to sources whithin ±15° from the GP.

Current usage metrics show cumulative count of Article Views (full-text article views including HTML views, PDF and ePub downloads, according to the available data) and Abstracts Views on Vision4Press platform.

Data correspond to usage on the plateform after 2015. The current usage metrics is available 48-96 hours after online publication and is updated daily on week days.

Initial download of the metrics may take a while.