Free Access

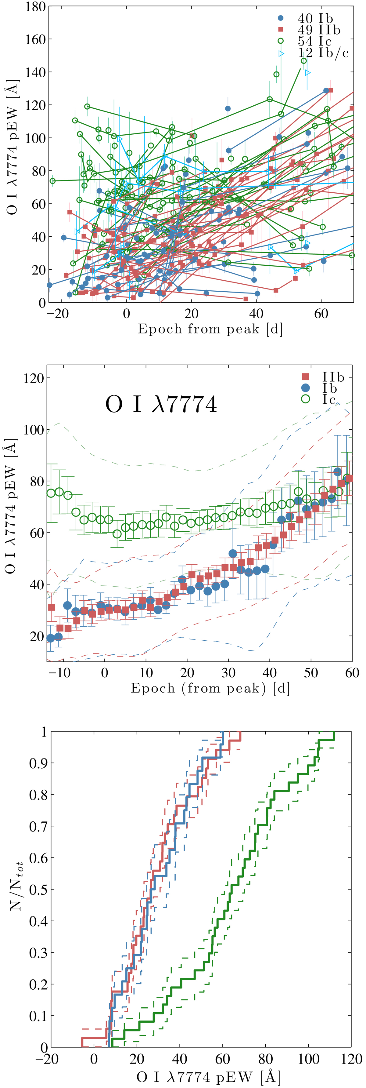
Fig. 3.

image

Absorption strengths of O I λ7774. Top panel: individual measurements, with multiple measurements of the same SN connected by solid lines. Middle panel: the averages of the SE SN subtypes, with error bars representing the standard deviation of the mean. Dashed lines outline the standard deviations of the samples for each subtype in matching color. Bottom panel: CDFs measured between −10 and +10 d.

Current usage metrics show cumulative count of Article Views (full-text article views including HTML views, PDF and ePub downloads, according to the available data) and Abstracts Views on Vision4Press platform.

Data correspond to usage on the plateform after 2015. The current usage metrics is available 48-96 hours after online publication and is updated daily on week days.

Initial download of the metrics may take a while.