Free Access

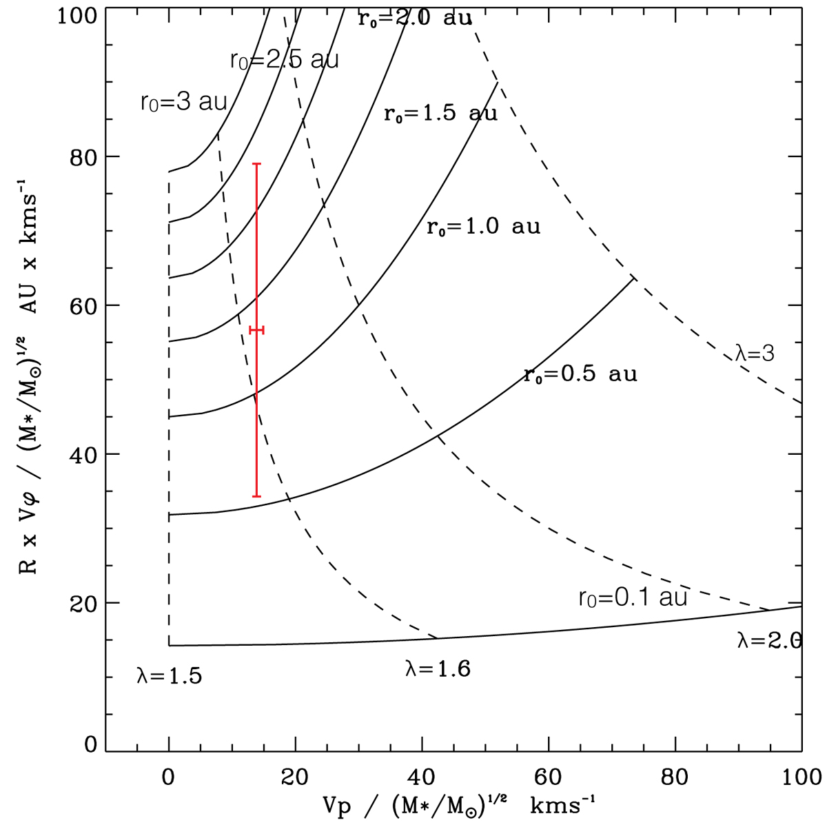
Fig. 15.

image

Specific angular momentum r × vϕ vs. poloidal velocity Vp, both normalized to . Red symbols show the values derived for the HH30 CO cavity while curves show the expected relations from steady self-similar MHD disk winds launched from radii r0 = 0.1, 0.5, 1, 1.5, 2, 2.5, 3 au (full curves) with magnetic lever arm λ = 1.5, 1.6, 2.0, and 3.0 (dashed curves). Figure adapted from Ferreira et al. (2006).

Current usage metrics show cumulative count of Article Views (full-text article views including HTML views, PDF and ePub downloads, according to the available data) and Abstracts Views on Vision4Press platform.

Data correspond to usage on the plateform after 2015. The current usage metrics is available 48-96 hours after online publication and is updated daily on week days.

Initial download of the metrics may take a while.