Free Access

Fig. 10

image

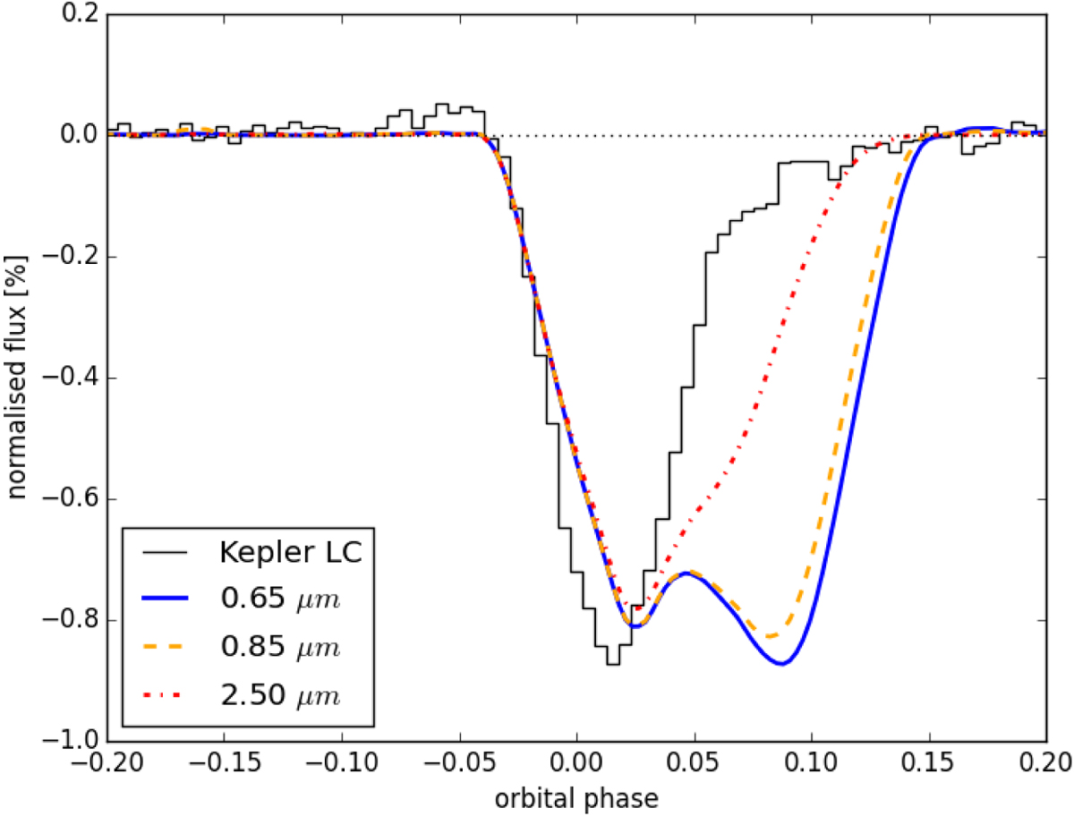
Model light curves produced by the optically thick tail described in Sect. 3.2 at wavelengths of 0.65 μm (solid blue), 0.85 μm (dashed orange) and 2.5 μm (dot-dashed red) compared with the Kepler long-cadence light curve of Kepler-1520 b (black). The model light curves are convolved to the Kepler long-cadence of 30 min. This tail was produced by ejecting particles with a spherically symmetric distribution from a planet of mass 8.4 × 10−6 M and radius of0.020 R at a velocity of 413 m s−1) (1.8 times the planetary surface escape velocity) and scaling its final dust mass to 1.2 × 1016 kg, or a dust mass-loss rate of 4.8 × 103 M Gyr−1 (600 times higher than the tail mass that produced Fig. 9) to make it completely optically thick.

Current usage metrics show cumulative count of Article Views (full-text article views including HTML views, PDF and ePub downloads, according to the available data) and Abstracts Views on Vision4Press platform.

Data correspond to usage on the plateform after 2015. The current usage metrics is available 48-96 hours after online publication and is updated daily on week days.

Initial download of the metrics may take a while.