Free Access

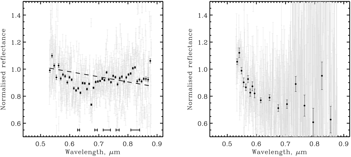
Fig. 1

image

Reflectance spectra of the asteroid (121514) 1999 UJ7. Left panel: reduced spectrum (grey) and the same data rebinned in 7.5 nm steps (black) obtained with ACAM at WHT. Regions with strong H2 O and O2 telluric absorption are denoted with ⊢ ⊣. Right panel:spectrum obtained with FoReRo2@2mRCC. See text for details.

Current usage metrics show cumulative count of Article Views (full-text article views including HTML views, PDF and ePub downloads, according to the available data) and Abstracts Views on Vision4Press platform.

Data correspond to usage on the plateform after 2015. The current usage metrics is available 48-96 hours after online publication and is updated daily on week days.

Initial download of the metrics may take a while.