Free Access

Fig. 1

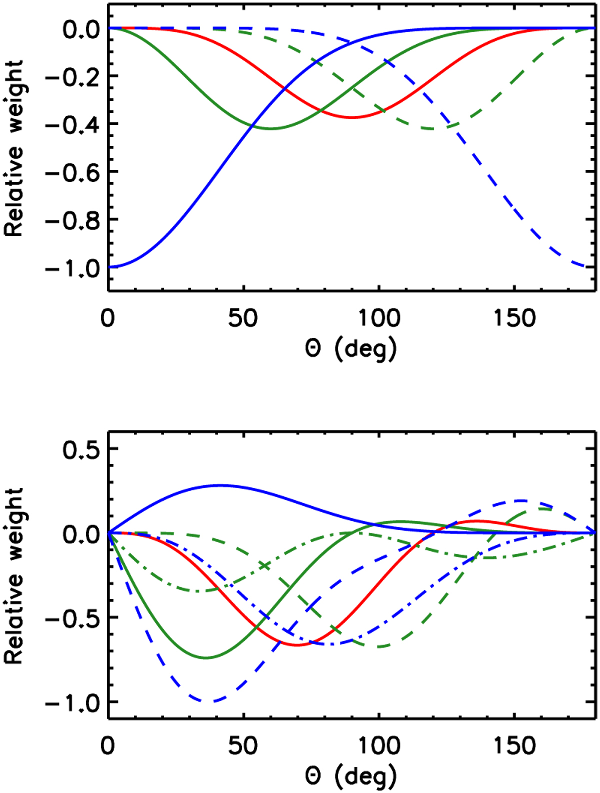
image

Relative geometrical contribution of each tidal component of degree l = 2 in the evolution of the semi-major axis (Eq. (27); top panel) and the obliquity (Eq. (30)) as a function of the instantaneous value of the obliquity for m = 0 (red), m = 1 (green), and m = 2 (blue); p = 0 (solid), p = 1 (dot-dashed), and p = 2 (dashed). For the obliquity (bottom panel), the relative contribution of each component depends on the orbital-to-spin angular momentum magnitude ratio, here taken for illustration purposes at 0.5. Those factors do not include the factor, so they do not contain information about the relative dissipation efficiencies of the different components for orbital evolution.

Current usage metrics show cumulative count of Article Views (full-text article views including HTML views, PDF and ePub downloads, according to the available data) and Abstracts Views on Vision4Press platform.

Data correspond to usage on the plateform after 2015. The current usage metrics is available 48-96 hours after online publication and is updated daily on week days.

Initial download of the metrics may take a while.