Free Access

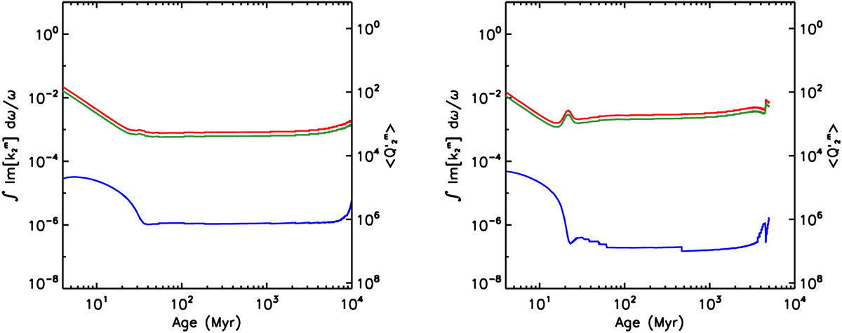
Fig. 4

image

Temporal evolution of the frequency-averaged imaginary part of the potential Love number corresponding to components of degree l = 2 and m = 0 (red), m = 1 (green), and m = 2 (blue) for models of a 1 M (left panel) and 1.2 M (right panel) mass stars. The rotation rate of the star does not evolve in time and is set at all times at Ω = 8.5 Ω for both models. A conversion to the modified tidal quality factor Q′ is given on the right y-axis.

Current usage metrics show cumulative count of Article Views (full-text article views including HTML views, PDF and ePub downloads, according to the available data) and Abstracts Views on Vision4Press platform.

Data correspond to usage on the plateform after 2015. The current usage metrics is available 48-96 hours after online publication and is updated daily on week days.

Initial download of the metrics may take a while.